
African swine fever (ASF) is the most impactful foreign animal disease to swine production worldwide. An in-depth understanding of how ASF spreads between farms is critical for deploying effective control strategies. Which become even more important with ASF detection in Dominic Republic. In the absence of vaccines, current control strategies depend on mass depopulation and movement restrictions, which cause major business disruptions. This study utilizes new knowledge of the role of swine population demographics (e.g. farm capacity and location) and between-farm movement data in disease transmission. Using our unique repository of real, complex data, we will evaluate transmission between farms thought the analysis of animal movement data of multiple states at a higher resolution than previously achieved, and test the feasibility of current movement restriction APHIS ASF control strategies through the following objectives:
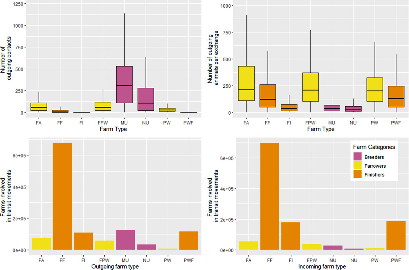
1) Construct a pig movement network across multiple states to characterize and classify swine farms in terms of their risk of disease introduction and spread, with the goal of identifying high-priority farms for contact tracing and control zone-based permitting.
2) Develop a network transmission model to extensively test current ASF control strategies, including the influence of different types/sizes of control zones on the quantity of permits required for movements in and out of zones during an outbreak.
