Modeling the role of mortality-based response triggers on the effectiveness of African swine fever control strategies

Paper Cover Image

Modeling the role of mortality-based response triggers on the effectiveness of African swine fever control strategies

Machado, G., Farthing, T., Andraud, M., Lopes, F.P.N., Lanzas, C.. 2021. Transboundary and Emerging Diseases

Abstract

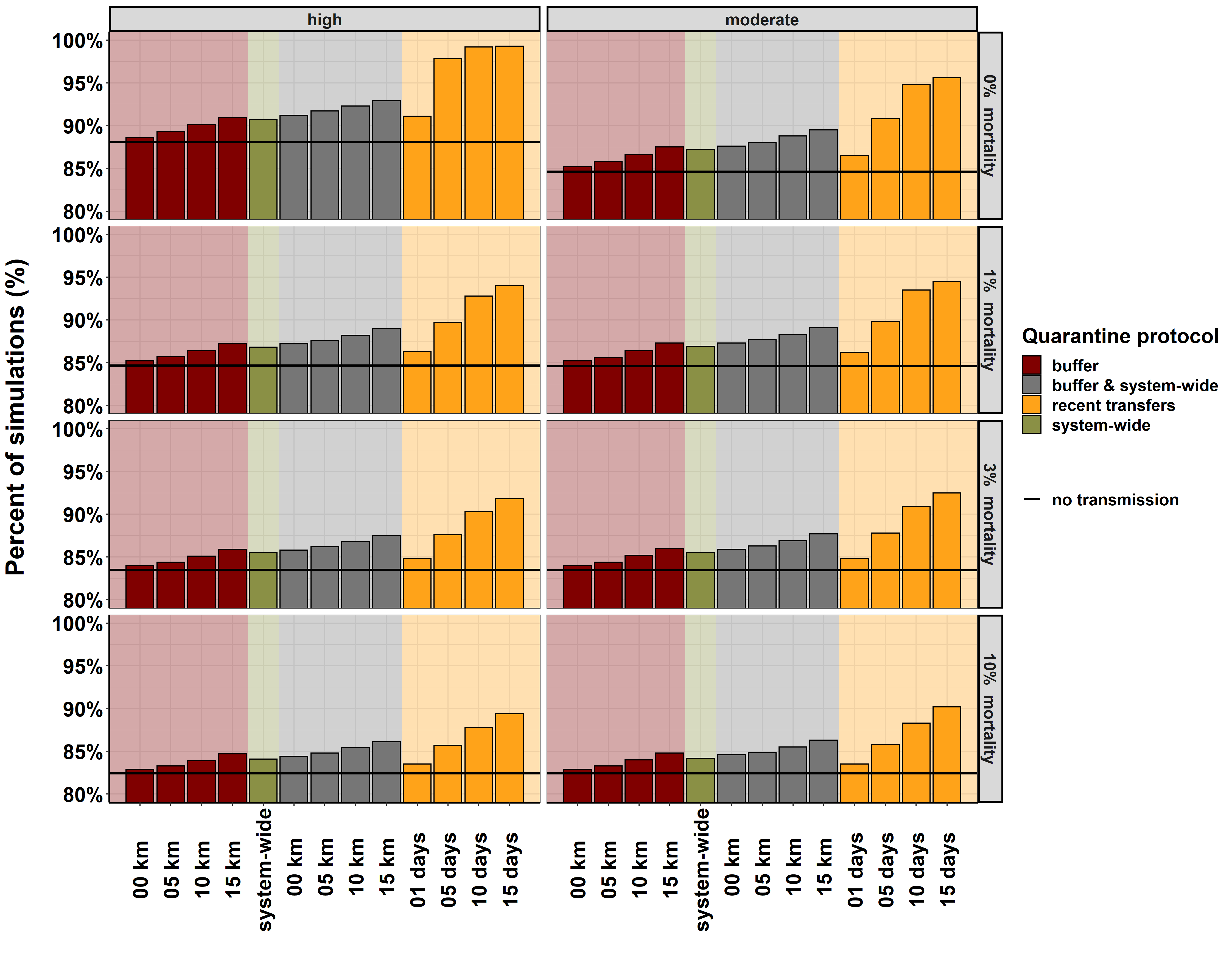
The control and eradication of African swine fever (ASF) is challenging and depends on successful outcomes in wild and domestic pig populations. In this study, we evaluated the effectiveness of mortality-based triggers for the rapid implementation of ASF control strategies in a simulated domestic pig population in the United States. We simulated ASF transmission in three regions of the United States with diverse swine production industries and calibrated the model to the expected range of ASF spread and impacts. We then evaluated the effectiveness of varying mortality-based triggers to initiate control strategies on the numbers of infected farms and the total number of culled and depopulated pigs. Our results suggested that early trigger-based control implementation could reduce the total number of infected farms by 28%-75% and the number of depopulated pigs by 12%-64%, depending on the pig industry structure and the time required for detection. However, our results also highlighted that the benefits of early control implementation depended on the speed of response and the availability of resources to implement those strategies. The findings of this study reinforce the importance of early detection and rapid response for the control and eradication of ASF in domestic pig populations and provide quantitative results to inform policy and decision-making for the management of the disease.

Updated: